11.6 Surfaces in Space
Surfaces in space, several familiar examples and some new. 

Quadric surfaces and examples. 

Identifying quadric surfaces by lookng at traces and intercepts. 

Identify a surface involving completing the square. 

Surfaces of revolution and an example.

Find a generating curve and axis of revolution from man equation representing a surface. 

Graphs we know and love already:
1. (x - x0)2 + (y - y0)2 + (z
- z0)2 = r2 is a sphere.
2. ax + by + cz + d = 0 is a plane.
Another type is called a "cylindrical surface" or cylinder. Not what you think: We are used to "cylinder" meaning a right circular cylinder (something shaped like a can), but a general cylinder is less defined, really.
Def Cylinder
Let C be any curve in a plane and L be any line not in a parallel plane. The set of all lines parallel to L that intersect C is called a cylinder. C is the generating curve and the parallel lines are called rulings (but I'm used to calling them generators).
Ex 1. The purple lines in the picture are the rulings (generators) and the black circle is the generating curve in the infinite height right circular cylinder:
Ex 2 sketch the surface: z = x2
Ex 3 sketch the surface z = cos y.
Quadric Surfaces
These are the 3D equivalent of conic sections (what are the conic sections
you've studied?)
The equation for all quadric surfaces in general is
There are 6 basic types: ellipsoid, hyperboloid of one sheet, hyperboloid
of two sheets, elliptic cone, elliptic paraboloid, and hyperbolic paraboloid.
The names are similar to the conics, and have to do with the trace
of each surface in each of
the coordinate planes. My software won't draw these, but sample drawings
are in all Calculus books. I can do a few by solving the equations for z.
Ellipsoid:
Hyperboloid of one sheet:
Hyperboloid of two sheets:
Elliptic cone:
Here's a sample:
![]()
Elliptic paraboloid:
Here's a sample one of these:
Hyperbolic paraboloid:
And a sample of this one:
Ex 4 Do one by hand: sketch and identify the quadric surface by identifying the trace in the coordinate planes and other planes parallel to them if necessary:
Trace in xy plane: none
Trace in yz plane: hyperbola
Trace in xz plane: hyperbola
x and y int: none
z int + or - 1
I solved for z to get
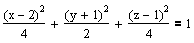
Ex 5 Identify and sketch the quadric surface:
1. Complete the square as necessary:
2. The center is at (2,-1,1), now divide by 4
3. This is an ellipsoid, centered at (2,-1,1) and fatter
in the x and z directions than the y.
The trace in the xz plane is a circle of
radius
, center at x = 2, z = 1.
The trace in the yz plane is a point (0,-1,1).
The trace in the xy plane is an ellipse with major
axis
centered at x = 2, y = -1.
x int are (3,0,0) and (1,0,0).
y int is "none".
z int is "none".
You should be able to finish the sketch. The picture in the
text (Larson Hostetler Edwards 8th edition page 815 is also hard
to see!) 
The fifth special type of surface we will look at in this section is the surface of revolution (see Calc II notes for finding the volume of one). We will attempt to find the equation of such a surface.
First, think of a generating curve in the yz or xz planes.
For this example, say x = r(z) in the xz plane is revolved about the z axis. Cross sections in the plane z = z0 will be circles of radius r(z0), so the curves each have equation
Substitution of z for z0 will produce an equation valid for all values of z:
Surface of Revolution
If the graph of a radius function r is evolved about an axis, the resulting equation is one of these:
1. Revolved about the x axis : y2 + z2 = [r(x)]2
2. Revolved about the y axis : x2 + z2 = [r(y)]2
3. Revolved about the z axis : x2 + y2 = [r(z)]2
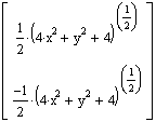
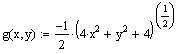
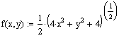
Ex 6 Find the equation of a surface of revolution if y = 1/z is revolved about the z axis:
This is in the book, but it is not graphed. I'll try to do that for you. Solving for z gives
and
Here are the graphs of the upper and and lower surface. Note: I had to add a small number to each radical to get the denominator to not be zero at x = 0,y = 0, which wasn't allowed by the software. Otherwise, the graphs should be fairly accurate. There is an obvious asymptote of some type at the origin
You can't always do this, but under some circumstances, it's possible to find a generating curve and an axis of revolution from a surface.
Ex 7 Find a generating curve and an axis of revolution:
The graph of x = sin(y) is revolved about the y axis.