Unit III Lesson 1 Ex2

Ex2. y’’+9y=0 and we know the solution y1=sin(3x). Find a second linearly independent solution.

Solution1:

We first assume that y2 = u(x)sin(3x), and differentiating y2, we get y2’=3u(x)cos(3x)+u’(x)sin(3x) and second derivative

y2’’=-9u(x)sin(3x)+3u’(x)cos(3x)+3u’(x)cos(3x)+u’’(x)sin(3x).

This simplifies to y2’’=-9u(x)sin(3x)+6u’(x)cos(3x)+ u’’(x)sin(3x) with a little algebra.

Substitution this y2 into our equation y’’+ 9y=0 gives the following equation:

u’’(x)sin(3x)+6u’(x)cos(3x) -9u(x)sin(3x)+9u(x)sin(3x)=0 and simplifying that yields:

u’’(x)sin(3x)+6u’(x)cos(3x)=0.

Now let w(x)=u’(x) and we get w’(x)sin(3x)+6w(x)cos(3x)=0, and dividing by w(x)sin(3x) we get, which when integrated give , simplifying toand now u(x)= the integral of w(x) or

or and letting C1=0 and C= -3 we get u(x)=cot(3x).

Therefore y2=u(x)y1=cot(3x)sin(3x) so we have y2=cos(3x).

A fundamental set is {sin(3x), cos(3x)}

and the general solution is y=C1sin(3x)+C2cos(3x). 

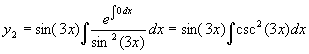
Solution 2:

, so we have

y2=sin(3x)(cot(3x)+C) and if we let C=0, we have y2=cos(3x)

Comment: Yes, it was easier this way, but you should try to follow solution1 given above to see the process, not just the ‘formula’.

BACK