Reduction of order as multiplying a known solution by some function and then finding the function and examples. 
Another example of using reduction of order. 
Look at another example of reduction of order. 
If we already know a solution to a DE, can we find a second linearly independent solution using the first?
Lets assume we know a solution y1. Recall a linearly independent solution will be such that our second solution y2 cannot be a constant multiple of y1. Therefore assume that y2=u(x)y1 where u(x) is not a constant function. This is a little like variation of parameters from Unit I Lesson 7. Here is a procedure that should work in the general case.
The generalized second order linear homogeneous equation can be written y+P(x)y+Q(x)y=0 and we suppose that we know the solution y1.
We define the function y=u(x)*y1(x) and note its first and second derivatives are
y=uy1+ y1u and
y=uy1+ 2uy1+
y1u.
Substitution into y+P(x)y+Q(x)y=0 ,we get this expression:
(uy1+2uy1+y1u)
+P(x)( uy1+y1u) + Q(x)uy1 =
0
which with a little algebra can be written:
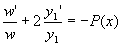
u(y1+P(x)y1+Q(x)y1)+u(2y1+P(x)y1)+uy1=0.
Since y1 is a solution of the homogeneous equation, the colored expression, y1+P(x)y1+Q(x)y1, must be 0.
This simplifies the expression to
uy1+u(2y1+P(x)y1)=0.
If we let w=u (and w=u), this reduces the order of the DE we must solve to first order.
It becomes
wy1+w(2y1+P(x)y1)=0 and dividing
both sides of this by wy1 we
get
.
Now integrating both sides, we
find
, and upon making both sides
exponents for e,
,
which when solving for w,
yields
.
Recall w = u, so we can integrate this expression to find
u:
.
Constants shouldnt affect our linearly independent solution, so let's
assign C1=1 and C2=0. Then we will
get
.
This is probably not as bad as it looks, so lets try to solve some example problems.
Take the link after trying it yourself.
Take this link after youve tried it yourself.