Unit III Lesson 1 Ex3

Ex3.  x2y’’+2xy’-6y=0 with given solution y1=x2


Solution 1:

First assume y2=ux2, and y2’=2ux+u’x2 and y2’’=u’’x2+4u’x+2u.

Substituting into x2y’’+2xy’-6y=0 we get x2(u’’x2+4u’x+2u)+2x(2ux+u’x2)-6y=0 and simplifying by adding

like terms we get: u’’x4+6u’x3=0.

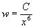
We reduce the order by w=u’ to get

w’x4+6wx3=0. Now dividing by wx4 and rearranging, we get

and integrating both sides, or , therefore we get u=C1x-5+C2.

If we let C1=1, C2=0 we get u=x-5, hence our second solution y2=x2x-5=x-3

Our fundamental set is {x2,x-3}and the general solution is  y=C1x2+C2x-3


Solution 2:

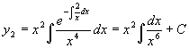
Rewrite x2y’’+2xy’-6y=0 (dividing by x2) as,

and so use the formula  to get .

If we let the C=0, we get y2=x-3

BACK