Modeling With
Linear Equations: Initial-Value Problems
Derivation of second order equations as models of motion on a spring (vibratory motion). 
Free undamped motion on a spring makes a sine wave describing its position at time t. 
An example of free undamped motion as an initial value problem. 
What if there is a damping force, and what if there is an external force added: The model changes. 
An example of damped motion as an IVP with initial conditions. 
Application to electronics, in particular an LRC circuit, and fumbling around with units... 
An example of an IVP that is an LRC circuit. 
One of these is free motion of a spring or any vibrating object.
Free Undamped Motion (Oscillatory Motion)
Consider a mass m suspended on a spring from a fixed vertical support. Let L0 be the natural length of the spring. When a weight is hung on the spring, it extends the spring an additional amount L, where it rests in equilibrium position. According to Hookes Law, the tension on the spring is directly proportional to this extension (F=kL) and this force would be the same as the weight of the object added m*g. Therefore kL=mg for m=the mass of the object and g=the gravitation constant. Now suppose at some fixed time t0, the mass is displaced y0 units from its equilibrium position. If y=y(t) is the distance of the mass from equilibrium at time t, then the extension at time t would be L+y(t). Note that downward direction is usually considered to be positive.
According to one of Newtons laws of mechanics, the rate of change of downward momentum=the net downward force, in math symbols:
Noting the derivative of y(t) is y(t) and that mg=kL this will simplify to:
You should already know how to produce the general solution:
If the system is set into motion at time t0 by a displacement y0 units and given an initial velocity v0, we have the initial conditions y(t0)=y0 and y(t0)=v0. The whole problem is now a second order linear IVP with constant coefficients.
This is an example of what is called free undamped motion. This motion will go on with no change unless something occurs to alter it. An example in animated form, look at the following. (This animation was made by a Russian scientific group. Their site can be viewed at this link.)
Note that the graph showing its position appears to be a regular sine wave
with a fixed amplitude. That amplitude is not obvious from our solution,
but a little work with trig can produce it. If we start with a function of
form Bcos(wx)+Csin(wx), note that this can be expressed
A(B/A)cos(wx)+A(C/A)sin(wx).
In particular, let
A2=B2+C2. Let z be an angle whose sine is
B/A and whose cosine is C/A (i.e. tan(z)=B/C). Now we can write the function
as
Asin(z)cos(wx)+Acos(z)sin(wx)=A(sin(z)cos(wx)+cos(z)sin(wx))
Which can be written (lookup the sin(A+B) identity):
Asin(wx+z)
Therefore our solution
can be written
as
If youd like to see this change, try comparing the graph of y=3cos(2x)+4sin(2x) with the graph of y=5sin(2x+tan-1(3/4)) or better yet so you can see the difference compare y=3cos(2x)+4sin(2x) and y=5sin(2x+tan-1(3/4))+1.
This graph was made with 'Derive' of the functions:
y=3cos(2x)+4sin(2x) and y=5sin(2x+tan-1(3/4))+1. Note one is just 1 unit above the other.
seconds?
Take this link after youve tried it yourself.
Damping and external force
Such a concept as free undamped motion is not realistic, although it appears in some applications. A more realistic approach would be to consider that there is a damping force acting on the weight that is proportional to its velocity at any given time. You see, there will be friction with the surrounding medium that slows it down, or maybe the system itself has a damping mechanical device. Think of the shock absorbers on your car. The springs dont continually bounce up and down after you go over a bump since the shocks act to dampen the bouncing. In either case the "Proportional to velocity" adds to the differential equation and it becomes:
There could also be an external force f(t) acting on the weight. Perhaps the spring support is moving, or the weight could be attached to another moving system. In that case another force is added and the DE becomes the one weve been studying:
The solution to this equation will give the displacement y(t) of the weight from its equilibrium position at time t and the initial conditions are y(t0)=y0 representing the initial position of the weight and y(t0)=v0 representing its initial velocity. If you want to experiment with this equation for various values of m, B and k, visit this website from the US military academy.
Take this link after trying it yourself.
Electrical Circuits (LRC type)
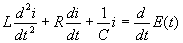
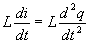
If we denote the current in the circuit by i(t)and the charge on the capacitor as q(t) at time t, and L, R and C are inductance, resistance and capacitance, then according to Kirchoffs Second Law, The impressed voltage E(t) on a closed loop must equal the sum of the voltage drops across the loop. Also since i(t) is related to charge on a capacitor by i(t)=dq/dt we have the second order linear DE:
Each of the voltage drops on the left are from the circuit and constants given:
Inductor =
Resistor =iR = R
Capacitor=
The solution q(t) will give the charge on the capacitor at time t.
An alternate form is to differentiate both sides
of
Note h = henrys,
=ohms, f
= farads, C = coulombs, A = amperes, V = volts.
Take this link after trying to solve it yourself.