Unit III Lesson 8 Ex1

Ex1. A beam of length L is embedded at both ends, and the constant load w0 is uniform along its length. (I.e. w(x)=w0 for all x in the interval 0<x<L. Find the function representing the deflection of the beam.

Solution:

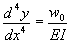
Solving the DE is easy enough, it just requires iterated integration after dividing both sides by EI to get :

Note that I used C1, and C2 to absorb the fractions, and didn’t bother to rename them, since they were always arbitrary.

The boundary conditions y(0)=0, y’(0)=0 forces both C4 and C3 both to be zero, and our solution becomes with . Note here that the Ci are arbitrary, but a relation between the function and its derivative must be maintained.

The boundary conditions y(L)=0, y’(L)=0 gives the system of equations

which can be solved for C1and C2 using Cramer’s Rule (See Unit III lesson 5).

 

Finally, we get the equation of the deflection to be the quartic equation:

If we let L=1, and assume w0=24EI to simplify this, we get the graph:

Our interest is in the interval between 0 and 1. Recall that the graph is showing positive y direction as up, but in our example we assumed it was down. The beam’s deflection is really as this diagram shows:

Note that this is a little bit of a drastic deflection, but conditions here are illustrative, not necessarily reality based. Besides, I didn't give a unit of measure, so suppose L was 1 rod.

BACK