Boundary Value Problems
Boundary value problems: deflection (bending under its own weight) of a beam as a fourth order boundary value problem. 
Example of solving the fourth order boundary value problem, use of Cramer's rule. 
Eigenvalues and Eigenfunctions of certain types of boundary value problems. 
An example of use of Eigenvalues and Eigenfunctions applied to a structure, critical loads, 'buckling'. 
Another example of a boundary value problem. 
A 'show that' problem from thremodynamics. 
Deflection of a Beam
Many structures built by humans are constructed from girders or beams which deflect or distort (Shall we say bend?) under their own weight or due to some external force. This deflection is governed by a linear 4th order DE. The diagram here shows the deflection curve of a beam:
Suppose the x axis coincides with the axis of symmetry and the deflection
is positive in a downward direction. In the theory of elasticity, it is known
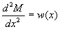
that the bending moment M(x) at a point x along the axis of the beam is related
to the load per unit length w(x) by the DE:
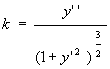
In addition, the bending moment M(x)=EIk where E and I are constants and k is the curvature of the elastic curve. E involves the elasticity of the beam's material (Steel is more rigid than lead, for example) and I is the moment of inertia of a cross section of the beam about the neutral axis. The product EI is called the flexural rigidity of the beam.
You may recall from calculus class that curvature k is given by the
formula:
.
When the deflection is small yè 0 so the denominator è 1, so k=y is used as the equation for curvature. Then M(x)=EIk can be written M(x)=EIy.
Differentiating this twice gives the
DE
.
Since
, the left side of the above
equation replaced with w(x) would
yield:
.
Boundary conditions associated with the equation depend on how the ends of the beam are supported. A cantilever beam is fixed at one end and free at the other end as the diagram shows:
For an embedded cantilever beam, the deflection y(x) must satisfy two boundary conditions at the embedded end and two at the free end:
y(0)=0 since there is no deflection at this end, and
y(0)=0 since the deflection curve is tangent to the x axis at this end.
y(L)=0 (where L is the beams length) since the bending moment is zero at the end
If the beam is simply hinged on the fixed end, then y(0)=0 and y(0)=0.
If the beam is embedded at both ends, there is no vertical deflection and the line of deflection is horizontal at the endpoints, which gives boundary conditions:
y(0)=0, y(0)=0, y(L)=0, y(L)=0. A picture of the situation is
given:
Take this link after trying it yourself.
Eigenvalues and Eigenfunctions
Suppose we wish to solve the BVP y+cy=0 with y(0)=0 and y(L)=0.
Case 1 c=0
y=0 is the differential equation, so y=A, y=Ax+B and y(0)=0 forces B=0, y(L)=0 forces AL=0 hence A=0, and we have only the trivial solution y=0
Case 2 c<0
From the characteristic equation m2+c=0 (with c<0) we get the
solutions
. From
the boundary values, we get the system of equations
If B=-A, (from the first equation) then the second equation says
. Since L>0
and c<0, this forces A=-B=0 and we again have only the trivial solution
y=0.
Case 3 c>0 we get the solution
. y(0)=0 forces
B=0 and y(L)=0 means
that
. Here either
A=0 or else
.
Solved for c, we
get
.
(Note if n=0, then c=0 and we already looked at that in Case 1. Hence
is a solution
for any A if
.
These values are called characteristic values or eigenvalues of the equation and the corresponding functions
are called characteristic functions or eigenfunctions.
Consider a vertical column of length L hinged at both ends, with a constant vertical compressive force (pressure) P applied to its top. The boundary value problem governing its deflection y(x) is
where E is a constant involving elasticity of the objects material and I is the moment of inertia of a cross section about a vertical line through its centroid. Here is a picture of the situation:
By letting c=P/EI, we have the situation described previously:
y+cy=0 with y(0)=0 and y(L)=0
We either have y=0 as a deflection curve or we have Case 3 where
corresponding
to eigenvalues
Therefore the column will buckle only if the pressure on the column is one
of the values
. These forces are called
critical loads.
The deflection curve corresponding to the smallest critical load, called
the Euler load
,is
and is known as
the first buckling mode.
If a restraint is placed on the column at x=L/2 (half-way point), then the
smallest critical load will
be
and the deflection
curve will be as in the figure shown here:
If restraints are placed at x=L/3 and x=2L/3, the critical load becomes
,
and so forth for other values of n.
Take this link after trying it yourself.
for u0 and
u1 constants.
Show that
Take this link after trying it yourself.