Unit III Lesson 8 Ex3

Ex3. The temperature u(r) in the circular ring shown below is determined from the boundary value problem: for u0 and u1 constants.

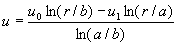
Show that

Solution:

If we multiply both sides by r, we have a Cauchy-Euler equation (see unit III lesson 6), so assuming a solution of form u=rm, u’=mrm-1, u’’=m(m-1)rm-2, we get the characteristic equation r2m(m-1)rm-2+rmrm-1=0. Factoring out rm and simplifying, we get rm(m2-m+m)=0. The solution is m=0 as a double root, hence the solution is u=C1+C2ln(r). The boundary conditions yield the system

Using Cramer’s rule we get the solutions:

Now the solution to the BVP is:

.

This simplifies to

QED

BACK