Unit V Lesson4 Ex2

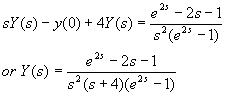
Ex2. Find the transform of the equation:

where E(t) is the periodic function in the graph:

Solution:

It would take some manipulating to find the inverse transform without a CAS, so I’m sure glad this example isn’t in a section where I must actually find the inverse transform, hence the solution to the original problem.

BACK